Calculation of load current of self-excited voltage inverter by harmonic analysis
- Authors: Trifonov B.A.1, Sereda G.E.1
-
Affiliations:
- Emperor Alexander I St.-Petersburg State Transport University
- Issue: Vol 11, No 2 (2025)
- Pages: 307-317
- Section: Original studies
- URL: https://transsyst.ru/transj/article/view/683922
- DOI: https://doi.org/10.17816/transsyst683922
- ID: 683922
Cite item
Full Text
Abstract
BACKGROUND. The paper discusses a single-phase bridge self-excited inverter operating into active inductive load. The load voltage is generated by switching the key circuit elements; the current shape is determined by the load parameters and characterized by the higher harmonic spectrum. In practice, the calculations are often focused on the effective inverter load current of a non-sinusoidal shape; its determination is associated with known computational difficulties.
AIM. To develop a method to calculate the effective value load current of a self-excited inverter that does not require decomposition of the current curve into a harmonic series and its subsequent summation.
METHODS. The effective inverter load current was calculated using the theory of residues.
RESULTS. The load current of a self-excited inverter calculated based on expressions obtained using the theory of residues allows to reduce the amount of computation and ensures high accuracy, which is confirmed by experimental studies.
Keywords
Full Text
Введение
Настоящее время характеризуется применением большого числа различных полупроводниковых преобразователей, осуществляющих преобразование электрической энергии постоянного тока в электрическую энергию переменного тока. [1–5].
Такая задача решается применением инверторных схем. Для надежной работы таких преобразователей требуется тщательный подбор элементов схемы, который в данный момент осуществляется применением численных методов расчета, которые требуют значительного машинного времени и дальнейшей экспериментальной проверки на опытных макетах.
Предлагается аналитический метод расчета с использованием гармонических рядов. При этом возникает проблема нахождения сумм коэффициентов гармонического ряда [6–11].
В предлагаемой работе сумма ряда находится с использованием теории вычетов, что позволяет значительно сократить получение результата (действующего значения тока нагрузки) [12–15].
Теоретическое обоснование
Рассмотрим работу однофазного мостового автономного инвертора напряжения на нагрузку активно-индуктивного характера. Ключевые элементы инвертора представляют собой полностью управляемые силовые полупроводниковые приборы (GTO-тиристоры, транзисторы).
Процессы, происходящие в схеме, описываются уравнением (1), которое справедливо на интервале открытого состояния проводящей пары ключевых элементов, соответствующем половине периода Т:
(1)
где U – напряжение источника питания; R, L – сопротивление и индуктивность нагрузки; Iн – ток нагрузки.
Если в уравнении (1) параметры реального режима, относящиеся к цепи постоянного тока, с помощью коммутационной функции ξ(t) привести к цепи переменного тока, то это уравнение приобретает вид, справедливый для любого момента времени:
(2)
Решение уравнения (2) может быть представлено в виде гармонических рядов
(3)
После интегрирования выражения для коэффициентов ряда производной имеем
(4)
(5)
Известно [1, 2], что iн(T/2)=-iн(0) тогда
Применительно к рассматриваемому случаю U=const, следовательно, гармонический ряд для ξ(t)U будет иметь вид
По полученным выражениям для гармонических коэффициентов можно составить систему из двух уравнений:
для косинусных коэффициентов
(6)
для синусных коэффициентов
(7)
Совместное решение уравнений (6) и (7) дает выражения для коэффициентов соответствующего ряда тока нагрузки инвертора
(8)
(9)
Действующее значение k-й гармоники тока нагрузки определяется выражением:
(10)
Для определения действующего значения тока нагрузки Iн необходимо определить сумму ряда:
(11)
Прямого суммирования этого ряда по всем нечетным гармоникам можно избежать, если воспользоваться теорией вычетов, с помощью которой можно найти сумму ряда (11).
Введем вспомогательную функцию комплексного переменного z:
(12)
Согласно [13, 14] имеем равенство:
(13)
Определим вычеты вспомогательной функции f(z)tg(πz/2).
Корнями уравнения (12) являются
Тогда
(14)
Подставляя значение корней z3 и z4 в (14), получим на основании (13) выражение для действующего значения тока нагрузки
(15)
Кроме того, представляется возможным найти значение тока в момент коммутации ключевых элементов инвертора iн(0), для этого необходимо найти сумму ряда (8) косинусных коэффициентов.
Введем новую вспомогательную функцию комплексного переменного z:
(16)
Для определения вычетов функции (16) найдем корни знаменателя:
(17)
И на основании равенства (13) найдем сумму ряда для косинусных коэффициентов и выражение для тока нагрузки в момент коммутации вентилей:
(18)
Экспериментальные исследования
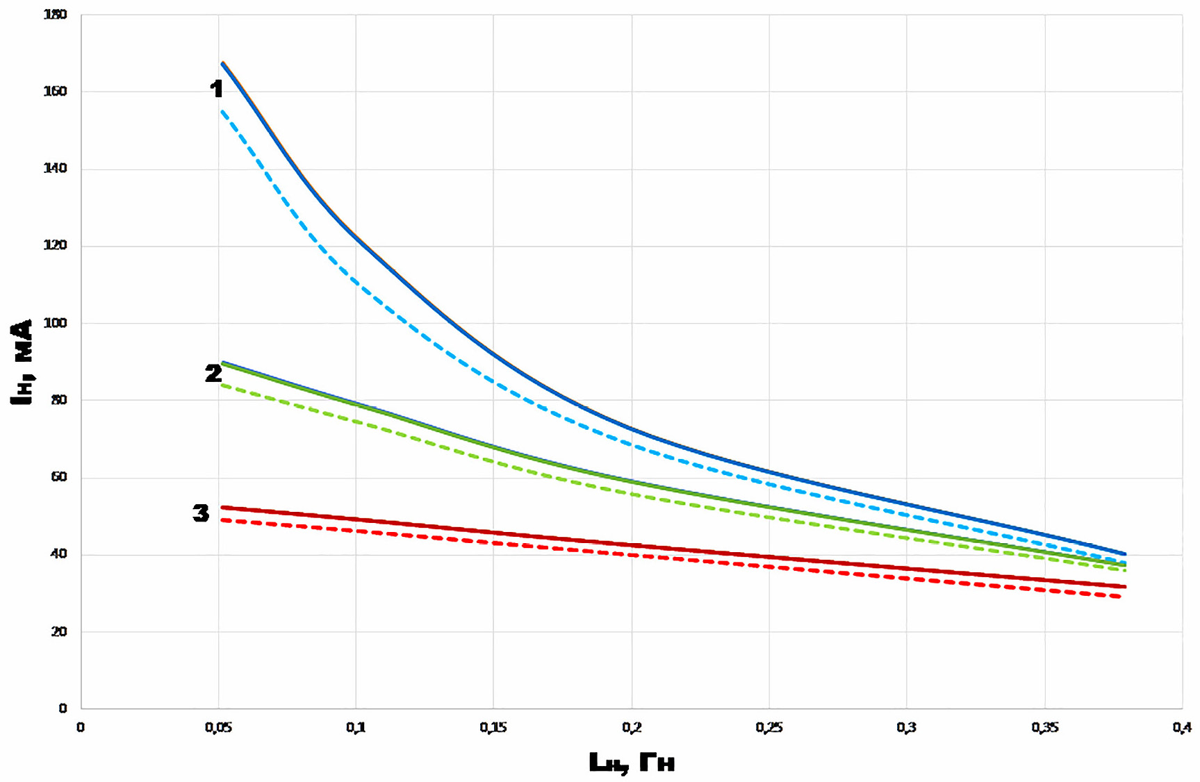
Достоверность выражения (15) подтверждается весьма удовлетворительным совпадением результатов расчета по этому выражению с расчетами по гармоникам с использованием выражения (10) и вполне удовлетворительным совпадением с результатами эксперимента. Эксперимент был выполнен на лабораторном стенде при частоте коммутации вентилей инвертора f=100 Гц для различных значений сопротивления R и индуктивности L нагрузки. Кривые токов нагрузки, полученные экспериментально, представлены на Рис. 1. Результаты эксперимента и расчетов представлены на Рис. 2.
Рис. 1. Форма кривых тока нагрузки однофазного мостового автономного инвертора напряжения: a – R=194 Ом, L=0,397 Гн; b – R=194 Ом, L=0,2 Гн; c – R=194 Ом, L=0,051 Гн
Fig. 1. The shape of the load current curves of a single-phase bridge autonomous voltage inverter: a – R=194 Ohm, L=0.397 H; b – R=194 Ohm, L=0.2 H; c – R=194 Ohm, L=0.051 H
Рис. 2. Результаты экспериментального исследования и расчетов для действующего значения тока нагрузки (сплошные линии – расчет по гармоникам и выражению (15), штриховые линии – эксперимент): 1 – R=47 Ом; 2 – R=107 Ом; 3 – R=194 Ом
Fig. 2. Results of the experimental study and calculations for the effective value of the load current (solid lines – calculation by harmonics and expression (15), dashed lines – experiment): 1 – R=47 Ohm; 2 – R=107 Ohm; 3 – R=194 Ohm
Выводы
Рассмотрен способ вычисления действующего значения тока нагрузки автономного инвертора напряжения с использованием теории вычетов, не требующий разложения кривой тока в гармонический ряд и последующего его суммирования.
Использование теории вычетов значительно упрощает поиск конечного результата и сокращает объем вычислительной работы.
Справедливость полученных результатов подтверждена экспериментальными исследованиями опытного образца однофазного инвертора напряжения.
Авторы заявляют, что:
- У них нет конфликта интересов;
- Настоящая статья не содержит каких-либо исследований с участием людей в качестве объектов исследований.
The authors state that:
- They have no conflict of interest;
- This article does not contain any studies involving human subjects.
About the authors
Boris A. Trifonov
Emperor Alexander I St.-Petersburg State Transport University
Email: trifoboba45@gmail.com
ORCID iD: 0000-0002-5816-3473
SPIN-code: 2262-9246
Cand. Sci. (Engineering), Associate Professor
Russian Federation, Saint-PetersburgGennady E. Sereda
Emperor Alexander I St.-Petersburg State Transport University
Author for correspondence.
Email: gennady.sereda@mail.ru
ORCID iD: 0000-0003-0754-6682
SPIN-code: 9682-8744
Cand. Sci. (Engineering), Associate Professor
Russian Federation, Saint-PetersburgReferences
- Bedford B, Hoft R. Theory of autonomous inverters. Moscow: Energy, 1969.
- Burkov A.T. Electronics and Converter Technology: Vol. 2: Electronic Converter Technology. Moscow: Educational and Methodological Center for Education in Railway Transport; 2015. EDN: XMTHSZ
- Byltseva VD, Izvarin MYu, Kim KK. Systems of autonomous running of urban electric transport. Modern Transportation Systems and Technologies. 2024;10(3):300-319. doi: 10.17816/transsyst634812
- Sharyakov VA, Nikitin VV, Evstaf’ev AM, Kolpakhchyan PG. On the question of assessing energy consumption by the rolling stock of urban rail transport. Russian Electromechanics. 2024;67(4):120-124. doi: 10.17213/0136-3360-2024-4-120-124 EDN: RQOTLC
- Karabadzhak ID, Nikitin VV. Power supply for ac consumers from a hydrogen fuel cell battery. Electromechanical matters. VNIIEM studies. 2025;204(1):13-19. EDN: ZMVOCQ
- Trifonov BA, Nikitin VV, Sereda GE. Calculation of the initial voltage on the switching capacitor of an autonomous current inverter. In: Problems of safety and efficiency of technical systems: Collection of reports from a conference with international participation, St. Petersburg, May 15, 2024. St. Petersburg: Emperor Alexander I St. Petersburg State Transport University; 2024:114-119. EDN: RWOMPG
- Karabadzhak ID, Nikitin VV. Options for the structure of an autonomous electric power system with a battery of hydrogen fuel cells. Modern Transportation Systems and Technologies. 2024;10(1):59-75. doi: 10.17816/transsyst624890
- Telichenko SA, Nikitin VV, Kolpakhchyan PG. Electromagnetic processes in a universal semiconductor converter for transport on-board electrical energy storage systems. Russian Electromechanics. 2023;66(4):118-127. doi: 10.17213/0136-3360-2023-4-118-127 EDN: CVYVJX
- Maznev AS, Kalinina AA, Volov AV, et al. Improvement of regulating properties of dc electric trains with pulse converters. Proceedings of Petersburg Transport University. 2022;19(1):75-81. doi: 10.20295/1815-588X-2022-19-1-75-81 EDN: NGPPUF
- Petrushin AD, Titova TS, Nikitin VV, Maznev AS. Optimal Frequency Control of Electric-Train Asynchronous Traction Motors. Russian Electrical Engineering. 2021;92(10):550-554. doi: 10.3103/S106837122110014X EDN: HQFKPR
- Li X, Li D, Chang G, et al. High-Voltage Hybrid IGBT Power Modules for Miniaturization of Rolling Stock Traction Inverters. IEEE Transactions on Industrial Electronics. 2022;69(2):1266-1275. doi: 10.1109/tie.2021.3059544 EDN: HGQHGO
- Lavrentev MA, Shabat BV. Methods of the theory of functions of a complex variable. Moscow: Science; 1973.
- Klochko VK. Applied Mathematics for Engineers. Moscow: KURS; 2025. EDN: OZNHOG
- Morozova VD. Theory of functions of a complex variable. Moscow: Bauman Moscow State Technical University; 2008. EDN: WKDFSB
- Volkovyskij LI, Lunc GL, Aramanovich IG. Collection of problems on the theory of functions of a complex variable. Moscow: Fizmatlit; 2004. EDN: QJNAOH
Supplementary files






