Тяговый вентильно-индукторный двигатель с улучшенными показателями надежности подшипниковых узлов для электрического подвижного состава
- Авторы: Мирошниченко Е.Е.1
 - 
							Учреждения: 
							
- Ростовский государственный университет путей сообщения
 
 - Выпуск: Том 7, № 2 (2021)
 - Страницы: 97-105
 - Раздел: Оригинальные статьи
 - URL: https://journals.eco-vector.com/transsyst/article/view/65369
 - DOI: https://doi.org/10.17816/transsyst20217297-105
 - ID: 65369
 
Цитировать
Полный текст
Аннотация
Цель: Cоздание предпосылок для внедрения вентильно-индукторного двигателя в систему тягового привода электрического подвижного состава путем улучшения показателей надежности подшипникового узла.
Методы: Расчеты проводились с использованием метода конечных элементов.
Результаты: Установлено, что расчетные значения силы одностороннего магнитного притяжения, приложенные к подшипниковому узлу, в десятки раз превышают допустимые значения. Следствием является ускоренный износ и выход из строя подшипников. Предложен алгоритм, учитывающий влияние сил одностороннего магнитного притяжения при неравномерном воздушном зазоре.
Заключение: Алгоритм дает возможность внести изменения в технологический цикл производства и улучшить потребительские качества тягового вентильно-индукторного двигателя.
Полный текст
ВВЕДЕНИЕ
Создание электрического подвижного состава конкурентоспособного на мировом рынке диктует необходимость применения энергоэффективных и высоконадежных тяговых электродвигателей. Хорошие перспективы применения в системе тягового электропривода имеет вентильно-индукторный двигатель (ВИД). По простоте конструкции и надежности ВИД нет равных, по КПД он превосходит асинхронные тяговые двигатели и немного уступает синхронным тяговым двигателям с постоянными магнитами на роторе [1, 2]. Дополнительное преимущество данного типа двигателей заключается в наличии естественной механической характеристики, являющейся оптимальной для тягового электропривода [3].
Областью применения тяговых ВИД являются пассажирские и грузовые электровозы, высокоскоростные поезда, метрополитен, электромобили и другие транспортные средства с электрическим приводом [1, 3–8].
В настоящее время разработкой и внедрением ВИД для транспортных систем занимаются ведущие электротехнические компании во всем мире.
Первые ВИД типа НТИ-350 для электропоездов были изготовлены на ОАО «НЭВЗ». При производстве НТИ-350 по отношению к аналогичному асинхронному двигателю НТА-350, изготовленному в том же корпусе, только на технологических операциях достигнуто снижение затрат на 30 %, а КПД по результатам испытаний оказался выше на 3 % [4].
Улучшение виброакустических показателей и показателей надежности подшипниковых узлов (ПУ) ВИД в настоящее время остается важной областью исследований, над которой работают многие ученые и изобретатели [9–13]. Повысить производительность работы ВИД, улучшить рабочую точность и увеличить срок службы подшипника позволяет изобретение, осуществляющее контроль вибрации ротора [9]. Имеются устройства, при помощи которых достигается значительный эффект в снижении шума ВИД, однако, при этом снижаются технологичность изготовления и эффективность электромеханического преобразования энергии [10]. Следовательно, снижение шума и вибраций достигается в основном за счет ухудшения важных показателей работы ВИД. Поэтому, необходимо учитывать комплексно механические и электромагнитные факторы при достижении требуемого результата, чтобы не приводить к ухудшению остальных параметров работы ВИД.
Целью данной статьи является создание предпосылок для внедрения ВИД в систему тягового привода электрического подвижного состава путем существенного улучшения показателей надежности ПУ. Для этого планируется решить научную проблему, которая заключается в наличии значительных сил одностороннего магнитного притяжения (ОМП) в воздушном зазоре, возникающих при его неравномерности, воздействующих на ПУ, и, как следствие, являющихся причиной ускоренного износа подшипников, а также шума и вибраций ВИД. Задача данной работы состоит в разработке рекомендаций по совершенствованию технологии изготовления тяговых ВИД, улучшению их виброакустических показателей и показателей надежности ПУ.
Величина воздушного зазора тягового ВИД имеет ограничения в основном технологического характера. В связи с тем, что невозможно абсолютно точно изготовить элементы конструкции ВИД и избежать неточностей в сборке электрической машины, неравномерность воздушного зазора почти всегда на практике будет иметь место. Следовательно, будут присутствовать силы ОМП, создающие динамические усилия, которые в комплексе со статическими усилиями приводят к быстрому износу элементов и их преждевременному отказу [14].
УЛУЧШЕНИЯ ПОКАЗАТЕЛЕЙ НАДЕЖНОСТИ ПОДШИПНИКОВОГО УЗЛА
Проведены расчеты для магнитной системы ВИД (Рис.1), спроектированной в корпусе тягового двигателя ДТА-1200А электровоза ЭП20.
Рис. 1. Фрагмент поперечного сечения активной части ВИД
Мощность ВИД на валу соответствует Рном = 1300 кВт, частота вращения nном = 1766 об/мин, напряжение Ud = 2200 В. Рассмотрен номинальный режим работы при смещении ротора по радиусу относительно оси симметрии статора на 0,4 мм по оси Х и по оси Y на 0,4 мм.
Для расчета магнитного поля был выбран полевой метод, реализованный в программе FEMM. Полученная матрица значений зависимости потокосцепления ψ = f (i, θ) применяется в программе MATLAB (SIMULINK) с целью нахождения зависимости тока от момента времени i(t) (Рис.2).
Рис. 2. Токи в фазах обмотки ВИД
Затем фазный ток применяется в дальнейших расчетах в формате зависимости тока от угла поворота ротора i(θ). Определение сил ОМП осуществляется по тензору натяжений Максвелла в магнитном поле. Приняты ограничения и допущения: магнитное поле ВИМ является плоскопараллельным; за пределами магнитной системы ВИД поле отсутствует; взаимное влияние фаз не учитывается; вихревые токи не оказывают существенного влияния на распределение магнитной индукции. Полученные расчетные значения сил ОМП даны на Рис. 3.
Максимальное значение силы ОМП соответствует концу цикла коммутации фазы. Поэтому, имеется три максимума результирующей силы ОМП, которые приходятся на спадающие токи соответствующих фаз.
Предлагается допустимую силу ОМП считать равной силе, оказывающей влияние на подшипники ВИД при остаточном дисбалансе. Тогда, согласно ГОСТ ИСО 1940-1-2007 [15] допустимое значение силы ОМП в данном режиме работы ВИД (масса ротора m = 415 кг) составляет 191,8 Н. Расчетные значения силы ОМП (Рис. 3) в десятки раз превышают допустимое значение силы ОМП.
Рис. 3. Параметры ВИД при смещенном роторе:
1, 2 – силы ОМП по осям Х и У;
3 – модуль значений результирующей силы ОМП;
4 – электромагнитный момент на валу
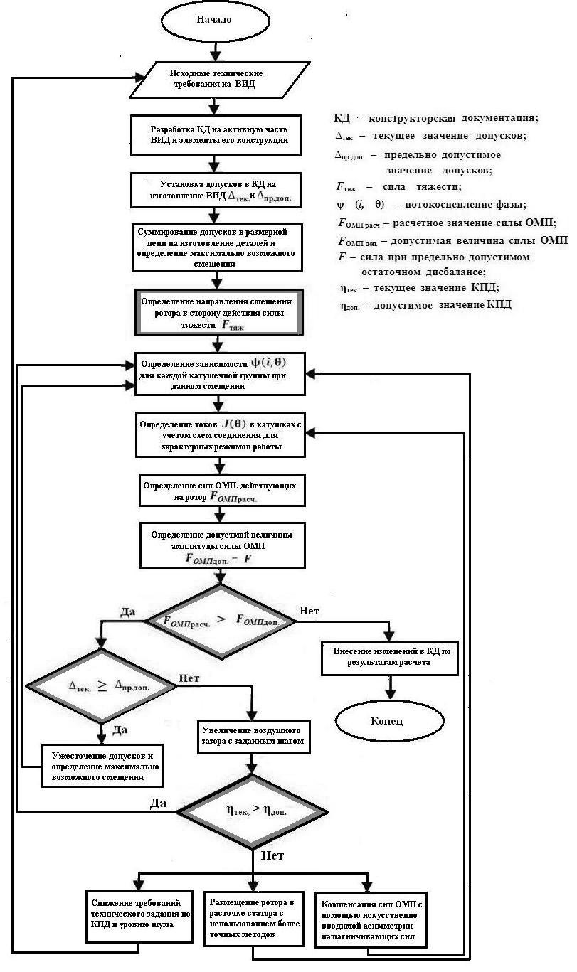
Следовательно, необходимо уточнить особенности производства ВИД с точки зрения обеспечения равномерности воздушного зазора. С этой целью предложен алгоритм расчета характеристик ВИД, учитывающий влияние сил ОМП, позволяющий внести изменения в технологию производства, гарантирующий работоспособность в течение длительного срока службы (Рис. 4).
Алгоритм оригинален в своем роде и отличается от других, известных в настоящее время, выделенными блоками (Рис. 4). Так, данный алгоритм имеет блок, где отражены действия по выбору максимального смещения для горизонтальных ВИД в направлении силы тяжести. На этом шаге рассматривается наиболее неблагоприятный вариант сборки.
На этапе, когда при увеличении воздушного зазора получают недопустимые значения КПД, меньше заявленных в техническом задании, необходимо дальнейшие действия согласовывать с заказчиком.
Рис. 4. Алгоритм расчета характеристик, проектируемого ВИД
Так, с целью точного размещения ротора возможно использовать пуклевку его листов. Более затратным вариантом является применение горячей посадки ротора на вал с заранее произведенным его пакетированием на специальной технологической оснастке.
Также, возможно осуществлять наиболее точный контроль составных элементов конструкции ВИД в процессе изготовления. Необходимо фиксировать их отклонения в размерах от заявленных в техническом задании, а затем производить их сортировку так, чтобы при сборке одного ВИД отклонения фактических размеров со знаком плюс и минус компенсировали друг друга
Компенсировать силы ОМП, действующие в воздушном зазоре возможно, используя принцип активного магнитного подвеса. Для этого необходимо разработать эффективную систему управления, содержащую два канала регулирования тока.
ЗАКЛЮЧЕНИЕ
Алгоритм, представленный в данной работе, учитывающий наличие сил ОМП, позволяет внести изменения в технологический цикл производства с целью контроля точности изготовления и обеспечения равномерности воздушного зазора тяговых ВИД.
Применение методов более точного размещения ротора, а также осуществление активного магнитного подвеса ротора дает возможность снизить нагрузку на подшипники ВИД, тем самым улучшив показатели их надежности.
Применение тягового ВИД с высокими потребительскими свойствами позволит обеспечить создание электрического подвижного состава конкурентоспособного на мировом уровне
Автор заявляет, что:
- Настоящая статья не содержит каких-либо исследований с участием людей в качестве объектов исследований.
 
Об авторах
Екатерина Евгеньевна Мирошниченко
Ростовский государственный университет путей сообщения
							Автор, ответственный за переписку.
							Email: ekaterinailjasova@rambler.ru
				                	ORCID iD: 0000-0002-8883-8021
				                	SPIN-код: 1498-5371
							Scopus Author ID: 56584045300
							ResearcherId: AAK-7622-2021
				                								
кандидат технических наук
Россия, Ростов-на-ДонуСписок литературы
- Петрушин А.Д., Волков И.В., Черняев С.С. Повышение энергетической эффективности подвижного состава железных дорог с учетом требований экологии // Вестник РГУПС. – 2021. – № 1. – С. 40–46. [Petrushin AD, VolkovIV, Chernyaev SS. Improving the energy efficiency of railway rolling stock, taking into account environmental requirements. Vestnik RGUPS. (In Russ.)]. 2021;1:40-46. doi: 10.46973/0201– 727X_2021_1_40
 - Буряковский С.Г., Любарский Б.Г., Маслий А.С., Шевкунова А.В. Оптимизация системы управления вентильно-индукторного двигателя для стрелочного перевода // Вестник Ростовского государственного университета путей сообщения. – 2013. – № 2 (50). – С. 61–67. [BuryakovskiySG, LubarskiyBG, MasliyAS, Shevkunova AV. Improvement of the dynamics of railway frequency controlled electric drive switch. Vestnik Rostovskogo gosudarstvennogo universiteta putey soobshcheniya. 2013;2(50):61-67. (In Russ.)]. Доступно по: https://www.elibrary.ru/item.asp?id=19020840 Ссылка активна на: 24.04.2021.
 - Антипов В.Н., Грозов А.Д. Перспективные электромеханические преобразователи энергии для городского транспорта / /Электромеханические преобразователи энергии: Межвузовский тематический сборник научных трудов. – 2014. – С.6–11. [Antipov VN, Grozov AD. Perspektivnyye elektromekhanicheskiye preobrazovateli energii dlya gorodskogo transporta. Elektromekhanicheskiye preobrazovateli energii: Mezhvuzovskiy tematicheskiy sbornik nauchnykh trudov. 2014:6-11. (In Russ.)]. Доступно по: https://www.elibrary.ru/item.asp?id=21544962&selid=21697748. Ссылка активна на: 24.04.2021.
 - Никифоров Б.В., Пахомин С.А., Птах Г.К. Вентильно-индукторные двигатели для тяговых электроприводов// Электричество. – 2007. – №2. – С.34–38. [Nikiforov BV, Pakhomin SA, Ptakh GK. Switched reluctance motor for traction electric drives. Elektrichestvo. 2007;2:34-38. (In Russ.)]. Доступно по: https://www.elibrary.ru/item.asp?id=12841002. Ссылка активна на: 24.04.2021.
 - Антипов В.Н., Грозов А.Д., Иванова А.В. Исследование характеристик базовых вентильно-индукторных электродвигателей тяговых приводов городского электротранспорта // Электричество. – 2016. – №10. – С. 45–52. [Antipov VN, Grozov AD, Ivanova AV. Studying the characteristics of basic converter-fed inductor electric motors for traction drives of urban electric vehicles Elektrichestvo. 2016;2:45-52. (In Russ.)]. Доступно по: https://www.elibrary.ru/item.asp?id=26903142. Ссылка активна на: 24.04.2021.
 - Buriakovskyi S, Babaiev M, LubarskiyB, MasliyAr, et al. Quality assessment of control over the traction valve-inductor drive of hybrid diesel locomotive. Eastern-European Journal of Enterprise Technologies. 2018;1/2(91):68-75. doi: 10.15587/1729-4061.2018.122422
 - Бакланов Д.А. Регулируемый электропривод сельскохозяйственных механизмов на основе вентильно-индукторных двигателей: дис. канд. техн. наук. – Москва, 2006. – 231 с. [Baklanov DA. Reguliruyemyy elektroprivod sel'skokhozyaystvennykh mekhanizmov na osnove ventil'no-induktornykh dvigateley [dissertation]. Moscow; 2006. 231 p. (In Russ.)].
 - Нестеров Е.В. Разработка вентильно-индукторных двигателей для легких электрических транспортных средств: дис. канд. техн. наук. – Москва, 2006. – 126 с. [Nesterov YeV. Razrabotka ventil'no-induktornykh dvigateley dlya legkikh elektricheskikh transportnykh sredstv [dissertation]. Moscow; 2006. 126 p. (In Russ.)].
 - Patent CN 101546948A Switched reluctance motor capable of actively controlling rotor vibration. № 200910098172.6; 05.05.2009. Available from: https://www.epo.org/searching-for-patents/helpful-resources/asian/china/search.html/.
 - Патент РФ на изобретение № 2011149255/07 02.12.2011. Бюл. № 14. ШабаевВ.А, Кругликов О.В., Тубис Я.Б. Трехфазный вентильно-индукторный двигатель с минимальными шумами, вибрациями и пульсациями момента, способ и устройство управления. [Pat. RUS № 2011149255/07.02.12.2011. Byul. № 14. Shabaev VA, KruglikovOV, TubisJB. Three-phase valve-inductor motor with minimum noise, vibrations of torque, method and device of control. (In Russ.)]. Режим доступа: https://www.elibrary.ru/item.asp?id=37510584. Дата обращения: 24.04.08.2021.
 - Wang X, Ge B, Jin W, Ferreira FJTE. Radial Force Analytic Modeling for a Novel Bearingless Switched Reluctance Motor When Considering Rotor Eccentricity. Electric Power Components and Systems. 2014;42(6):544-553. doi: 10.1080/15325008.2014.880968
 - Chun Gan, Jianhua Wu, Mengjie Shen, Shiyou Yang, Yihua Hu, Wenping Cao. Investigation of Skewing Effects on the Vibration Reduction of Three-Phase Switched Reluctance Motors. IEEE TRANSACTIONS ON MAGNETICS. 2015;51:1-9. doi: 10.1109/TMAG.2015.2441035
 - C. Gan, J. Wu, Q. Sun, W. Kong, et al. A Review on Machine Topologies and Control Techniques for Low-Noise Switched Reluctance Motors in Electric Vehicle Applications. IEEE. 2018;6:31430-31443. doi: 10.1109/ACCESS.2018.2837111
 - Петрушин А.Д., Илясова Е.Е. Исследование влияния неравномерности воздушного зазора на величину силы одностороннего магнитного притяжения ротора к статору вентильно-индукторной электрической машины// Электротехнические и компьютерные системы. – 2011. – 3 (79). – С. 278–279. [Petrushin AD, Iljasova EE. Evaluation of air gap non-uniformity influence on the magnitude of force of rotor to stator unilateral attraction in switched reluctance motor. Elektrotekhnicheskiye i komp'yuternyye sistemy. 2011;3(79):278-279. (In Ukr.)]. Доступно по: https://www.elibrary.ru/item.asp?id=17071705. Ссылка активна на: 24.04.2021.
 - ГОСТ ИСО 1940-1–2007. Вибрация. Требования к качеству балансировки жестких роторов. Часть 1. Определение допустимого дисбаланса. – М.: Стандартинформ, 2008. – 27 с. [GOST ISO 1940-1–2007. Vibratsiya. Trebovaniya k kachestvu balansirovki zhestkikh rotorov. Chast' 1. Opredeleniye dopustimogo disbalansa. Moscow: Standartinform; 2008. 27 p. (In Russ.)].
 
Дополнительные файлы
				
			
						
					
						
									
		





