MULTI® - rope-less elevator demonstrator at test tower Rottweil
- Authors: Appunn R.1, Frantzheld J.1, Jetter M.2, Löser F.1
-
Affiliations:
- Thyssenkrupp Transrapid GmbH
- Thyssenkrupp Elevator AG
- Issue: Vol 4, No 3 (2018)
- Pages: 80-89
- Section: Original papers
- URL: https://journals.eco-vector.com/transsyst/article/view/10429
- DOI: https://doi.org/10.17816/transsyst20184380-89
- ID: 10429
Cite item
Full Text
Abstract
Background: The world’s first linear motor driven passenger elevator system MULTI® started test operation at test tower Rottweil, Germany. A full scale showcase has been installed, the commissioning is finished and extensive testing activities are performed. The new test tower in Rottweil provides the perfect test and certification environment to get this ground-breaking product onto the market.
The propulsion of the cars is based on an ironless long-stator linear motor with distributed active drive, motor and sensor elements. This technology allows cars to move individually in the same elevator shaft without any ropes. The same type of linear motor will also be used to exchange cars horizontally from one shaft to another. Herewith a movement of the cars in a loop or any vertical and horizontal travel path can be realized. The testing procedures to characterize the operation of the MULTI® include measurements of electrical, mechanical and thermal quantities.
Smart energy management feeds power of descending cars for rising cars. To overcome the high power demand for acceleration cars, an energy buffering system is installed.
Aim: This paper focuses on the power and energy management of the MULTI® demonstrator. The benefit of intelligent buffering strategy is depicted.
Methods: Full scale prototype, numerical simulation, testing and measurement.
Results: This paper presents first measurement results of the MULTI® demonstrator mainly focusing on the power and energy characteristics of the propulsion system.
Conclusion: Using an energy buffering system, the peak input power of the MULTI® can be reduced to 50% of the peak power level without energy buffer. The power from downward moving cars is recuperated and used for upward driving cars, balanced by the energy buffer without stressing the grid.
Full Text
INTRODUCTION
MULTI® represents a completely new and innovative transportation system of thyssenkrupp Elevator [1] - a ropeless elevator that can move through a building not only vertically but also horizontally – a system to revolutionize high building construction. MULTI® in comparison to conventional and modern elevator systems provides to following main benefits (compare Fig. 1):
Significantly increased transport capacity with shorter waiting times
In one year alone, New York City office workers spent a total of 16.6 years waiting for elevators, compared to only 5.9 years spent travelling in them [2]. The best way to save people’s valuable time is to find solutions that cut waiting times rather than only speed up elevators. With MULTI®’s multiple cars in a single shaft passengers never wait more than 15 to 30 seconds for a lift.
Substantially reduced mass
Advances in lightweight design, including new lightweight carbon composites, to reduce MULTI®’s cabin and door weight by up to 50 % are integrated. Eliminating the ropes and counterweights of conventional elevators also decreases the mass to be moved during an elevator trip.
Much smaller footprint
With one car per shaft, traditional elevators take up more and more space as buildings increase in height [3, 4]. MULTI® consolidates multiple carriages into fewer shafts. It reduces the elevators’ footprint by up to 50 % while increasing passenger throughput by at least as much. MULTI® may also help reduce the building’s overall size, external surface area and total energy consumption.
No more constraints in building height and shape design
With MULTI®’s rope-free system, architects and developers are no longer restricted in their designs by concerns about elevator shaft height and vertical alignment. MULTI® opens the door to design possibilities in all directions.
Fig. 1. Comparison of elevator technologies.
SHOWCASE AT TEST TOWER ROTTWEIL
The new 246-metre-high elevator test tower in Rottweil, southern Germany is specially configured for the elevator technology of tomorrow: in the twelve shafts within the tower, which have a diameter of 21 meters, the engineers can test elevators at speeds of up to 18 m/s. Three shafts with a height of 80 meters are used for the testing of the innovative MULTI® system.
Fig. 2. MULTI® Showcase scope definition and foto of test tower Rottweil
Two of these shafts form a loop for upward and downward movement of elevator cars. In the third shaft garages are located for parking and maintenance of cars. Fig. 2 gives an overview of the testing scope.
Guiding system
A cantilever concept is chosen as guide rail concept. This concept is shown in Fig. 3, where the linear drive is mounted centrally behind the car (hence cantilever solution). The chassis consists of a sledge (rotational part) and a car frame (static part). The car frame carries the cabin containing the payload (passengers) via a suspension system to isolate the payload from vibrations resulting from drive and roller guiding. The sledge contains the magnet yoke (movable part of the linear motor) which can be rotated by 90 degrees at a swivel platform.
Fig. 3. MULTI® Showcase (Rottweil, Germany)
Exchanger
Four exchangers are located at intersections of vertical and horizontal shafts. An exchanger is a direct driven swivel device, which rotates the sledge including the linear motor, while the cabin remains vertical by an interlock. In horizontal position the linear motor now drives the car horizontally to the next exchanger, where the sledge is turned back in vertical direction. Herewith a transition from a vertical to a horizontal shaft and vice versa is realized. The principle is shown in Fig. 4.
Fig. 4. Horizontal transition between shafts
PROPULSION SYSTEM
The MULTI® elevator system operates multiple cars along several shafts distributed in a building. Linear drive technology [5] is applied for the movement of the cars. The propulsion system with its subcomponents is described in this section.
Linear motor
An ironless long-stator linear synchronous motor concept is applied. The primary part consists of multiple coil units in double array configuration placed along the shaft. The secondary part is a permanent magnet yoke fixed at the car. Fig. 5 shows the configuration. Compact, IGBT-based inverter units (motor controllers) are distributed along the shafts. Each motor controller drives a 3-phase current to a dedicated coil unit. In double array configuration, eight motor controllers and coil units act on a single car.
Position sensor
For the MULTI® system, position sensors are required to measure the relative position of the magnet yoke on the car with respect to the coil units. The position information is required to perform position control (motion control) of the cars and for the commutation of the motor currents.
A customized sensor based on inductive influence of the scale (mounted on the car) on the sensor heads (distributed along the shaft) is utilized. The relative position accuracy is in the range of several μm, to match the requirements of the position control.
Fig. 5. Linear motor topology.
Braking system
The cars are equipped with two mechanical braking systems, the operation brake and the safety gear. The operation brake is only active at the stopping positions at the different floors. The safety gear is for emergency situations.
Power distribution
At Testtower Rottweil the MULTI® demonstrator has four independent power supplies. Herewith a fourfold redundancy is achieved. The power supplies consists of bidirectional rectifiers (active front ends), which feed DC-power to busbars, distributed along each elevator shaft. The DC-based system offers a higher efficiency and requires less space inside the shaft when compared to an AC-system. Motor controllers controlling coil units are supplied from these busbars. The coil units are generating the mechanical force through a yoke which is equipped with permanent magnets. The yoke is mechanically connected to an elevator car.
To reduce the installed power required for operation and to increase overall efficiency, an energy buffering system is applied. According to the redundancy concept of the MULTI®, each busbar should be equipped with a single energy buffer (compare Fig. 6). This means each energy buffer is connected in parallel to each power supply. An energy buffering strategy is applied to control the power flow of the system.
Fig. 7. Connection of energy buffer.
Energy buffer
In elevator operation, high input power is required for rising cars if no other car is lowering at the same time. To reduce these power peaks an energy buffer is applied. The energy buffer consists of a DC/DC-converter and supercapacitor arrays. The DC/DC-converter steps the DC-Link voltage down to the operating range of the supercapacitors. An active cell balancing strategy is applied to harmonize the voltages of the supercapacitor cells.
The energy buffer is connected in parallel to the DC-link, physically realized by power transmission cables. The power flow from DC-link to the energy buffer is controlled by a power management strategy. A real-time Ethernet communication is utilized. A current control is applied, since the DC-link voltage is already controlled by the active front end. Fig. 7 gives a schematic overview of the connection of the energy buffer.
Energy buffering strategy
The operation strategy of the energy buffer is defined as follows. Depending on the measured current demand of the MULTI® and the actual energy level of the buffer, the system either feeds power to the DC-link or is loaded by power from the DC-link. The target of the strategy is to reduce the peak input power of the system and maintain a long term energy buffer target level of 50 %. Several thresholds can be defined to specify the behavior of the buffering system. Following the different decision paths, set values for the current control are generated. The operation strategy is implemented in the MULTI® power management.
Fig. 7. Connection of energy buffer.
MEASUREMENT RESULTS
Various test runs are currently performed to analyze the power characteristics of the MULTI® and the influence of the energy buffering system. Speed, acceleration, weight and number of cars moving vertically or horizontally have been varied to cover relevant driving situations. Exemplary two test scenarios are presented in the following sections.
Example scenario 1: Shuttle operation up and down, no exchange
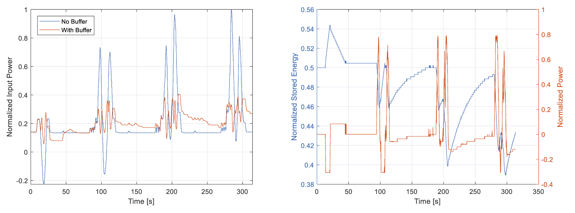
The test run is done with two cars (m1 = mn, m2 = 0.75 mn) in two shafts with a speed of 5 m/s and an acceleration of 1.2 m/s2. The cars are moved as shuttle upwards and downwards (yo-yo). The movement consists of three full shuttle moves.
The measured input power of one power supply system is shown. The input power with and without energy buffer is depicted on the left chart in Fig. 8. The peak power without buffer is defined as 100 %. 40 % of this peak power are fed back during the downwards movements. A stand-by load of 8 % is measured. The input power with energy buffer differs significantly from the case without energy buffer. The peak input power is reduced to 50 %.
Fig. 8. Normalized measured power / energy of shuttle operation.
From the measured input current at the output of the active front end and the energy buffer current, the current demand of the MULTI® is calculated. Hereof a current offset is subtracted to take the standby losses into account. Based on this current demand, the current control of the energy buffer is carried out. The current demand is covered by the grid and also by the energy buffer.
The amount of energy stored in the buffer and the power of the buffer are depicted on the right chart in Fig. 8. The buffer is initially charged to 50 % of the maximum energy level. After the upwards movement the buffer is reduced to 32 %. After the following downward movement it is recharged completely. During every charge/discharge operation 95 % and 100 % of buffer power are transferred, respectively. The power circulates with the dynamic of the car movements.
The shuttle test operation is an extreme load condition for the MULTI®, which does not occur in real life operation. In addition to the characterization of the power demand, this test case is done to determine the thermal behavior of the linear drive.
Example scenario 2: Showcase operation, circulation with exchange
A circulation test run with three cars (m1 = mn, m2 = 0.75 mn, m3 = 0.6 mn) in both vertical and horizontal shafts (loop) with a vertical speed of 5 m/s and a horizontal speed of 0.2 m/s is done. The maximum acceleration is 1.2 m/s2 and 0.4 m/s2, respectively.
The measured input power of one power supply system is shown. The input power with and without energy buffer during the showcase scenario is depicted on the left chart in Fig. 9. Depending on the respective movements of the three cars, a different input power can be observed. The measured peak power without energy buffer is indicated as 100 %. In maximum 21 % of this peak power is fed back to the grid. The input power with energy buffer differs significantly from the case without energy buffer. The peak input power is reduced to 40 %.
Fig. 9. Normalized measured power / energy of showcase operation.
The amount of energy stored in the buffer and the power of the buffer are depicted on the right chart in Fig. 9. The buffer is initially charged to 50 % of the maximum energy level. After the first downwards movement the buffer is charged above 54 %. After the following upward movement it is discharged to 45 %. During the following downwards and upwards movements the cycle is repeated. Since there are long standstill periods and horizontal movements in this scenario, the energy buffer is recharged completely every time. The maximum charge/discharge power is 80 % and 30 % of nominal buffer power, respectively.
The power demand of the MULTI® during the showcase scenario is very low compared to the shuttle scenario. At maximum one car is moving upwards, while the other cars are at standstill, moving horizontally or downwards.
CONCLUSIONS
A full scale demonstrator, the MULTI® Showcase has been commissioned at Testtower Rottweil and extensive testing has been performed. The propulsion system including multi-redundant power supply, power distribution and energy buffering is proofed fully operational. Using an energy buffering system, the peak input power of the MULTI® can be reduced to 50
% of the peak power level without energy buffer. The power from downward moving cars is recuperated and used for upward driving cars, balanced by the energy buffer without stressing the grid.
The applied linear drive technology with its multiple coil units and motor controllers provides both vertical and horizontal movement of three cars in one loop at a high ride comfort. Mechanical vibrations and the thermal characteristics of the linear motor are within the specified range. A highly redundant control system guarantees in combination with an overall safety system a safe ride. In the ongoing project phase the MULTI® is subject to safety assessment for passenger transportation.
About the authors
Rüdiger Appunn
Thyssenkrupp Transrapid GmbH
Author for correspondence.
Email: ruediger.appunn@thyssenkrupp.com
ORCID iD: 0000-0003-3487-6724
Doctor of Engineering
Germany, MunichJürgen Frantzheld
Thyssenkrupp Transrapid GmbH
Email: juergen.frantzheld@thyssenkrupp.com
ORCID iD: 0000-0003-2860-8723
Doctor of Engineering
Germany, MunichMarkus Jetter
Thyssenkrupp Elevator AG
Email: markus.jetter@thyssenkrupp.com
ORCID iD: 0000-0003-4939-8446
Russian Federation, Filderstadt
Friedrich Löser
Thyssenkrupp Transrapid GmbH
Email: friedrich.loeser@thyssenkrupp.com
ORCID iD: 0000-0002-4341-1032
Doctor of Engineering
Germany, MunichReferences
- Appunn R, Frantzheld J, Gerstenmeyer S, Jetter M, Löser F. MULTI® - New Technology of a People Transportation System for mid and high-rise Buildings. MAGLEV 2016, The 23rd International Conference, Berlin, 2016.
- Dong J, Zafar Q. Elevator scheduling (Internet). Columbia University, New York; 2010. Available from: http://www.columbia.edu/~cs2035/courses/ieor4405.S13/ p14.pdf.
- Ishii T. Elevators for skyscrapers. IEEE Spectrum. 1994;31(9):42-46. doi: 10.1109/6.309960
- Strakosch GR. The Vertical Transportation Handbook. John Wiley & Sons, Inc., New York; 1998. doi: 10.1002/9780470172865
- Platen M. Entwicklung eines Synchron-Linearantriebs für ein vertikales Transportsystem [dissertation]. Aachen (Germany): RWTH Aachen University; 2001.
Supplementary files













