Зависимость загущающих свойств и реологического поведения масел от природы модификаторов вязкости на основе сополимеров стирола с бутадиеном
- Авторы: Лядов А.С.1, Кочубеев А.А.1, Анисимов А.Е.1, Ильин С.О.1, Карпов Г.О.1, Жигарев В.А.1, Паренаго О.П.1
-
Учреждения:
- Институт нефтехимического синтеза им. А.В. Топчиева РАН
- Выпуск: Том 65, № 3 (2025)
- Страницы: 238-248
- Раздел: Статьи
- URL: https://transsyst.ru/0028-2421/article/view/688816
- DOI: https://doi.org/10.31857/S0028242125030072
- EDN: https://elibrary.ru/LDKWLX
- ID: 688816
Цитировать
Полный текст
Аннотация
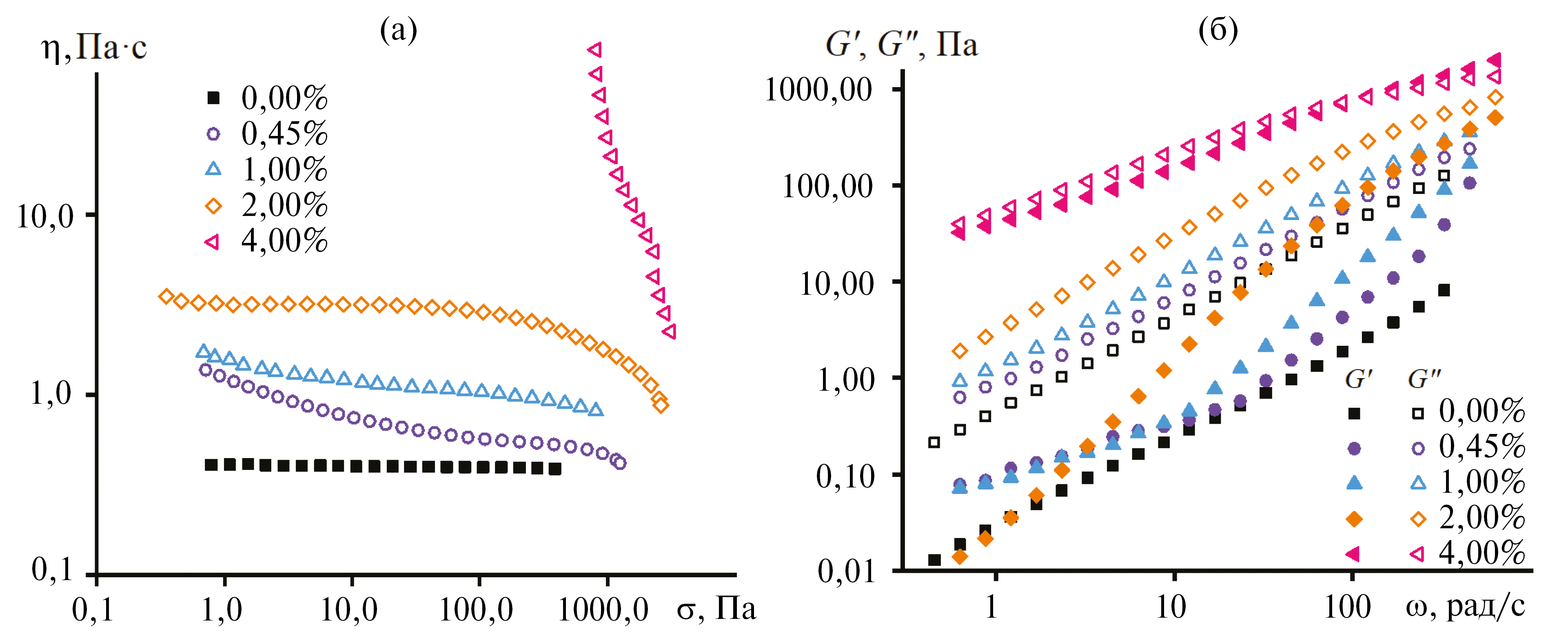
Проведено комплексное исследование модифицирующего действия сополимеров бутадиена и стирола с варьируемыми параметрами молекулярной массы (Mw = 100–520 кДа) и содержания стирольных звеньев на вязкостные и реологические свойства базовых масел различной природы. Все исследуемые сополимеры проявляют выраженную загущающую способность; при этом эффективность загущения напрямую коррелирует с молекулярной массой присадки. Максимальный прирост кинематической вязкости при введении присадок наблюдается для минеральных масел, а увеличение индекса вязкости более выражено в случае синтетических масел IV и V групп. Показано, что оптимальная концентрация присадок такого типа ограничена значениями в 2–3 мас.% вне зависимости от типа масла и природы присадки, тогда как использование модификаторов в большей концентрации приводит к резкому росту температуры застывания (более чем в 2 раза) и ухудшению низкотемпературной текучести. Изучение реологического поведения полиальфаолефинового масла, модифицированного присадками, показало, что повышение вязкости без структурообразования происходит при малом содержании макромолекул модификатора. Структурирование масла с появлением предела текучести и низкочастотным упругим откликом наблюдается при высоком содержании присадки. Полученные результаты могут быть использованы для создания композиций масел с заданными реологическими характеристиками для различных климатических зон и условий эксплуатации.
Полный текст
Об авторах
Антон Сергеевич Лядов
Институт нефтехимического синтеза им. А.В. Топчиева РАН
Автор, ответственный за переписку.
Email: lyadov@ips.ac.ru
ORCID iD: 0000-0001-9969-7706
к. х. н., в. н. с.
Россия, Москва, 119991Александр Александрович Кочубеев
Институт нефтехимического синтеза им. А.В. Топчиева РАН
Email: lyadov@ips.ac.ru
ORCID iD: 0000-0001-5760-8453
м. н. с.
Россия, Москва, 119991Алексей Евгеньевич Анисимов
Институт нефтехимического синтеза им. А.В. Топчиева РАН
Email: lyadov@ips.ac.ru
ORCID iD: 0009-0006-2084-1036
Студент
Россия, Москва, 119991Сергей Олегович Ильин
Институт нефтехимического синтеза им. А.В. Топчиева РАН
Email: lyadov@ips.ac.ru
ORCID iD: 0000-0002-7947-8845
к. х. н., в. н. с.
Россия, Москва, 119991Глеб Олегович Карпов
Институт нефтехимического синтеза им. А.В. Топчиева РАН
Email: lyadov@ips.ac.ru
ORCID iD: 0000-0002-6838-5109
к. х. н., н. с.
Россия, Москва, 119991Всеволод Александрович Жигарев
Институт нефтехимического синтеза им. А.В. Топчиева РАН
Email: lyadov@ips.ac.ru
ORCID iD: 0000-0002-7480-7494
к. х. н., н. с.
Россия, Москва, 119991Олег Павлович Паренаго
Институт нефтехимического синтеза им. А.В. Топчиева РАН
Email: lyadov@ips.ac.ru
ORCID iD: 0000-0002-4869-4035
д. х. н., г. н. с.
Россия, Москва, 119991Список литературы
- Stambaugh R., Kinker B. Viscosity Index Improvers and Thickeners. In: Chemistry and Technology of Lubricants, Еds. R. Mortier, М. Fox, S. Orszulik. Springer, Dordrecht, 2010. https://doi.org/10.1023/b105569_5
- Müller H.G. Mechanism of action of viscosity index improvers // Tribology Intern. 1978. V. 11, I. 3. P. 189–192. https://doi.org/10.1016/0301-679X(78)90006-3
- Covitch M., Trickett K. How polymers behave as viscosity index improvers in lubricating oils // Advances in Chem. Engineering and Science. 2015. V. 5, № 2. P. 134–151. https://doi.org/10.4236/aces.2015.52015
- Liao W., Ju C., Zhao Q., Lou W., Wang X., Zhang S. Synthesis and properties study of a multifunctional polymethacrylate viscosity index improver // ACS Applied Engineering Materials. 2025. V. 3, № 1. P. 108–117. https://doi.org/10.1021/acsaenm.4c00624
- Marsden K. Literature review of OCP viscosity modifiers // Lubrication Science. 1989. V. 1, I. 3. P. 265–280. https://doi.org/10.1002/ls.3010010304
- Петрухина Н.Н., Цветков О.Н., Максимов А.Л. Гидрированные сополимеры стирола и диенов как загущающие присадки к смазочным маслам (обзор) // Журнал прикладной химии. 2019. Т. 92, № 9. С. 1091–1103. https://doi.org/10.1134/S0044461819090019 [Petrukhina N.N., Tsvetkov O.N., Maksimov A.L. Hydrogenated styrene–diene copolymers as thickening additives to lubricating oils // Russ. J. of Applied Chemistry. 2019. V. 92. P. 1179–1189. https://doi.org/10.1134/S1070427219090015]
- Huang H.-M., Liu I.-C., Tsiang R. Studies of hydrodynamic properties for characterizing star-shaped poly(ethylene-co-propylene) // Polymer. 2005. V. 46, I. 3. P. 955–963. https://doi.org/10.1016/j.polymer.2004.11.102
- Martini A., Ramasamy U.S., Len M. Review of viscosity modifier lubricant additives // Tribol. Lett. 2018. V. 66. ID 58. https://doi.org/10.1007/s11249-018-1007-0
- Ver Strate G., Struglinski M.J. Polymers as lubricating-oil viscosity modifers. In: Polymers as Rheology Modifers. Еds. D.N. Schulz, J.E. Glass. Am. Chem. Soc. Washington, 1991.
- Carfora R., Notari M., Assanelli G., Caramia S., Nitti A., Pasini D. Thermoresponsive polymers as viscosity modifiers: innovative nanoarchitectures as lubricant additives // ChemPlusChem. 2025. V. 90. e202400611. https://doi.org/10.1002/cplu.202400611
- González Cortes P., Araya-Hermosilla R., Wrighton-Araneda K., Cortés-Arriagada D., Picchioni F., Yan F., Rudolf P., Bose R.K., Quero F. Effect of intermolecular interactions on the glass transition temperature of chemically modified alternating polyketones // Mater. Today Chem. 2023. V. 34. ID 101771. https://doi.org/10.1016/j.mtchem.2023.101771
- Коршак В.В., Виноградова С.В. Зависимость термостойкости полимеров от их химического строения // Успехи химии. 1968. Т. 37, № 11. С. 2024–2069. [Korshak V.V., Vinogradova S.V. Dependence of thermal stability of polymers on their chemical structure // Russ. Chem. Rev. 1968. V. 37. P. 885–906. https://doi.org/10.1070/rc1968v037n11abeh001712]
- Yadykova A.Y., Ilyin S.O. Compatibility and rheology of bio-oil blends with light and heavy crude oils // Fuel. 2022. V. 314. ID 122761. https://doi.org/10.1016/j.fuel.2021.122761
- Ilyin S.O. Structural rheology in the development and study of complex polymer materials // Polymers. 2024. V. 16, I. 17. ID 2458. https://doi.org/10.3390/polym16172458
- Карпов Г.О., Моронцев А.А., Ильин С.О., Султанова М.У., Самойлов В.О., Бермешев М.В. Синтез сополимеров этилена с винилацетатом путем радикальной полимеризации с обратимой передачей цепи // Журнал прикладной химии. 2023. Т. 96, № 1. С. 60–68. [Karpov G.O., Morontsev A.A., Ilyin S.O., Sultanova M.U., Samoilov V.O., Bermeshev M.V. Synthesis of ethylene–vinyl acetate copolymers by reversible addition–fragmentation chain-transfer radical polymerization // Russ. J. of Applied Chemistry. 2023. V. 96. P. 50–58. https://doi.org/10.1134/S1070427223010081]
- Hansen C.M. Hansen solubility parameters: a user's handbook. Boca Raton: CRC Press, 2007. 519 p. ISBN 0-8493-7248-8
Дополнительные файлы










